UNIVERSITÉ D’ANTANANARIVO
FACULTÉ DEGS
Département Economie
2012
ÉPREUVE DE MATHÉMATIQUE
Exercice 1 :
Ecrire le D.L au voisinage de 0 à l’ordre 3 de 
Exercice 2 :
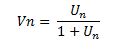
Soient les deux séries
et
telles que pour tout n ∈ Ν
avec Un ≥0
On se propose de démontrer que ces deux séries sont de même nature.
1) On suppose que
est convergente :
a- Montrer que pour tout n ∈ Ν, Un ≥Vn
b- En déduire la nature de ![]()
2) On suppose que
est convergente
a- Calculer la
. Exprimer Un en fonction de Vn. En déduire ![]()
b- Calculer 
c- En déduire la nature de la série ![]()
Exercice 3 :
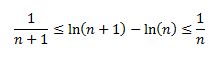
1) Montrer en utilisant le théorème des accroissements finis que pour tout n ∈ Ν*

2) Montrer en utilisant la question 1) que pour tout n ∈ Ν* et pour tout k ∈ Ν*

3) En déduire
Exercice 4 :
Soient E un espace vectoriel sur un corps K, F et G deux sev de E tels que :
. Soient
une base de E et
une base de G
Montrer que
est un système libre de E.