Durée : 03 heures 15 minutes
Coefficient : 4
EXERCICES 1 : (5 points)
1- a) Résoudre dans l’équation (E1) : z² – 2z + 2 = 0
b) Préciser le module et un argument de chacune des solutions de (E1).
c) En déduire les solutions dans
de l’équation
(E2) : (–iz + 3i + 3²) – 2(–iz + 3i + 3) + 2 = 0 (on pourra poser Z = –iz + 3i + 3)
2- Le plan complexe
est rapporté à un repère orthonormé direct
d’unité 1 cm.
On donne les points A, B et C d’affixes respectives : ZA = 1 + i ; ZB = 1 – i et Zc = 2 – 2i
a) Placer les points A, B et C.
b) Donner la forme trigonométrique de
avec E d’affixe ZE = 3
c) En déduire la nature du triangle AEC.
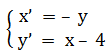
3- On considère la transformation R du plan
dans
qui à tout point M
d’affixe z = x + iy associe le point M’ d’affixe z’ = x’ + iy’ tel que :
![]()
a) Donner l’expression complexe de R
b) Préciser la nature et les éléments caractéristiques de R
c) Soit
le cercle de centre E et de rayon
.
Déterminer et construire l’image
de
par R dans le repère précédent.
EXERCICE 2 : (5 points)
A- On dispose de deux urnes dont l’une U1 contient 8 boules numérotées : 0 ; 2 ; 2 ; 2 ; 3 ; 3 ; 4 ; 5
et l’autre U2 contient 5 boules numérotées : 0 ; 0 ; 1 ; 2 ; 2
Les boules sont indiscernables au toucher.
1- On tire au hasard et successivement sans remise 3 boules de l’urne U1.
Calculer la probabilité de chacun des événements suivants :
E1 : « Les numéros des 3 boules tirées sont pairs ».
E2 : « Avoir 3 boules dont la somme des numéros tirée est égale à 6 ».
2- On tire au hasard et simultanément 2 boules de l’U2 et 1 boule de l’U1.
On suppose que les événements élémentaires sont équiprobables.
Soit X la variable aléatoire égale au nombre de boule portant le numéro 2.
a) Donner la loi de probabilité de X.
b) Calculer l’espérance mathématique E(X) de X.
B- Lors d’une épreuve facultative d’EPS, on donne pour 4 élèves les points bonus xi
obtenus en épreuve de « course de fond » et yi obtenus en épreuve de « saut » :
| xi | 1 | 2 | 5 | 7 |
| yi | 2 | 2 | 4 | 5 |
1- Calculer le coefficient de corrélation linéaire. Interpréter le résultat.
2- Déterminer, par la méthode des moindres carrés, l’équation de la droite de régression de y en x.
3- Estimer le bonus en épreuve de saut pour un élève ayant 9 points de bonus en course de fond.
PROBLÈME : (10 points)
On considère la fonction f définie sur
par : 
On note par
sa courbe représentative dans un plan muni d’un repère
orthonormé
d’unité 1 cm.
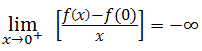
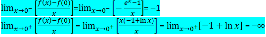
1- Étudier la continuité de f en x0 = 0
2- a) Montrer que
et 
b) Interpréter graphiquement ces résultats
c) Calculer les limites de f en
et
.
3- a) Pour
, calculer f'(x) et étudier son signe.
b) Pour
, calculer f'(x) et étudier son signe.
c) Dresser le tableau de variation de f.
4- Donner l’équation de la tangente (T) à
au point d’abscisse x0= e
5- a) Calculer f(e²)
b) Étudier les branches infinies de
.
6- Tracer la tangente (T) et la courbe
en précisant les demi-tangentes au point O.
7- Soit g la restriction de f sur l’intervalle ![]()
a) Montrer que g admet une fonction réciproque g-1 définie sur l’intervalle J
que l’on précisera.
b- Dresser le tableau de variation de g-1 .
c- Tracer la courbe
de g-1 dans le même repère que
.
d- Calculer (g-1)'(e²)
8- En utilisant une intégration par parties, calculer en cm², l’aire A du domaine plan
limité par la courbe
, l’axe des abscisses et les droites d’équations x = e et x = e²
On donne ![]()
Corrigé disponible