BACCALAURÉAT DE L’ENSEIGNEMENT GÉNÉRAL
SESSION 2017
Série A ; Épreuve de : Mathématiques
Durée : 02 heures 15 minutes ; Coefficient : A1=1 ; A2=3
NB : – Les deux exercices et le problème sont obligatoires.
– Machine à calculer scientifique non programmable autorisée.
EXERCICE 1 (5 points)
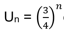
Pour tout entier naturel n, on pose
et Vn = ln(Un) .
1- a- Calcu1er UO, U1 , VO et V1 (0,25ptx4)
b- Montrer que (Un) est une suite géométrique de raison q =
(1pt)
c-Calculer en fonction de n la somme Sn = Uo + U1 + Un (0,75pt)
2- a-Vérifier que (Vn) est une suite arithmétique dont on précisera la raison. (1pt)
b- En déduire la variation de la suite (Vn) (0,25pt)
3- Calculer
et ![]()
(0,5ptx2)
EXERCICE 2 (5 points)
Le tableau suivant représente l’évolution des bénéfices par mois d’un marchand (y) (en millions d’Ariary) où y6 est un nombre entier naturel.
| Mois | Janvier | Février | Mars | Avril | Mai | Juin |
| Rang du mois (Xi) | 1 | 2 | 3 | 4 | 5 | 6 |
| Bénéfice (y) | 32 | 34 | 36 | 41 | 42 | y6 |
1- Calculer la valeur de si la moyenne de la série (yi) est
(1pt)
2- Dans tout ce qui suit, on prendra y6 = 49.
a- Représenter le nuage des points Mi(xi , yi) dans un repère orthogonal. (1pt)
b- Déterminer les coordonnées du point moyen G. (1pt)
c- Ecrire l’équation cartésienne de la droite d’ajustement linéaire (G1 G2) par la méthode de Mayer. (1pt)
3- À l’aide de cette droite, estimer le bénéfice du marchand au mois de septembre. (1pt)
PROBLÈME (10 points) A1
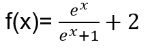
On considère la fonction f définie sur
par : ![]()
On note par (C) sa courbe représentative dans un repère orthonormé (O,i,j) d’unité 2cm
1- Calculer
Interpréter graphiquement ce résultat.
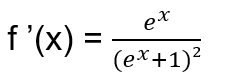
2- a- Démontrer que pour tout réel x,![]()
b- En déduire
Que peut-on en conclure pour la courbe (C) ?
3- a- Vérifier que la fonction dérivée ![]()
b- Dresser le tableau de variation de f.
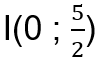
4- a- Montrer que le point
est un centre de symétrie de la courbe ( C).
b- Ecrire l’équation de la tangente (T) à la courbe (C) au point d’abscisse xo = 0.
c- Calculer à 0,1 près f(—1), f(1) et f(2)
5- Tracer la courbe (C) et (T) dans le même repère
Pour A2 seulement
6- Soit F la fonction définie sur
par : F(x) = 2x + In(eX + 1)
a- Calculer F’(x). Que peut-on en conclure ? (1pt)
b- Calculer, en cm, l’aire géométrique
du domaine plan limité par la courbe (V), l’axe des abscisses et les droites d’équations x= 0 et x = ln3. (1pt)
![]()













