CENTRE NATIONAL DE TÉLÉ-ENSEIGNEMENT DE MADAGASCAR (CNTEMAD)
Année universitaire : 2013/2014
EXAMEN FINAL
MATHÉMATIQUES FINANCIÈRES
———
Document interdit
Tous les exercices sont à traiter obligatoirement
Exercice 1 :
La société MAEVA a négocié auprès de la banque BFV la traite n° 212404 de nominal 4.500.000 ariary échéance du 31 octobre 2014, aux conditions suivantes :
Le net et la négociation s’élève à 4.441.750 ariary (on négligera le taxe)
Déterminer la date de remise à l’escompte de l’effet N°212404
Exercice 2 :
Qu’appelle-t-on “ Taux d’équivalents”
Exercice 3 :
Le 15 juin 2010, la société MAEVA a passé un contrat avec AID TOTAL relatif à un emprunt remboursable suivant le système classique. Ceci est effectué par 10 annuité constante de fin de période calculées au taux de 5 %
Le 15 juin 2013, Maëva à payer la troisième annuité, tout en constatant que l’intérêt compris dans celle-ci est porté dans les charges de l’entreprise et s’élève à 8.370.155 ariary
1- Calculer la Somme 8.370.155 Ariary est l’intérêt. Que représente cette somme
2- Calculer l’annuité constante
3- Trouver le montant de l’emprunt
4- MAEVA obtient de AID TOTAL de se libérer intégralement de sa dette au moment du paiement de l’annuité du 15 juin 2017. Quelle somme globale MAEVA versera-t-elle, sachant que la fraction de l’emprunt restant due (l’annuité du 15 juin 2017 non comprise) et majorée, d’un commun accord, de 5 %
Exercice 1 :
Valeur nominale = 4 500 000
Valeur nette = 4 441 750
Sachant que Valeur nette = Valeur nominale – Agios
Et que Agios = Escompte + Commissions + TVA
Escompte =
= 1 175n
Calculons les diverses commissions :
Endos =
= 75n
Acceptation = 4 500 000 * 1 ‰ = 4 500
On obtient :
4 441 750 = 4 500 000 – Agios
Agios = 58 250
Et encore
58 250 = 1 175n + 75n + 4 500 + 1500
56 250 = 1 250 n
| n = 45 jours |
La date de remise à l’escompte de l’effet est donc le 16 Septembre 2014
Exercice 2 :
On appelle « Taux équivalent » le même taux d’escompte utilisé pour deux effets équivalents et qu’ils ont la même valeur acquise à une date déterminée.
Exercice 3 :
1) La somme 8 370 155 correspond à l’intérêt remboursé à cette période, autrement dit, la rémunération du prêt versée par la société MAEVA à AID TOTAL en 2013
2) Calcul de l’annuité constante
On a I3 = 8 370 155
Avec la formule I3 = V2 * i
On obtient :
8 370 155 = V2 * 5%
V2 = 167 403 100
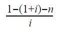
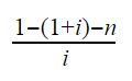
On peut calculer l’annuité constante à partir de la formule :
Vo = a * 
a = Vo * 
En utilisation V2
a = 167 403 100 * 
| a = 25 900 911,24 |
L’annuité constante est de Ar 25 900 911,24
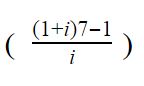
3) Montant de l’emprunt
Vo = a *
Vo = 25 900 911,24 * 7,7
| Vo = 199 999 971 |
Le montant de l’emprunt est de Ar 199 999 971
4) Somme globale à verser
Le capital C dû immédiatement au moment du paiement de l’annuité du 15 Juin 2017 est égal au capital total emprunté diminué de la somme des 7 premiers amortissements :
C = Vo – A1
C = 199 999 971 – 15 900 912,59 (
| C = 70 534 606,28 |
Le capital dû immédiatement au paiement de l’annuité du 15 Juin 2017 est égal à Ar 70 534 606,28