UNIVERSITÉ D’ANTANANARIVO
Faculté DEGS
Département Economie
Teste d’entrée 1ère année
Durée de l’épreuve : 2 heures
Mathématique
Exercice 1
Calculer l’intégrale : ![]()
Exercice 2
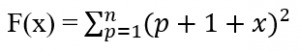
a- Calculer en fonction de n : ![]()
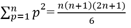
b- Montre par récurrence que
c- En déduire en fonction de n l’expression de la dérivée de la fonction f définie par
![]()
STATISTIQUE
On considère la distribution paramètre ci-dessous de moyenne arithmétique à ![]()
| Variable x | 1 | 2 | 3 | 4 | 5 |
| Effectif | 2 | n2 | 5 | n3 | n4 |
Effectif totale égale à 20
1) Déterminer toutes les valeurs convenables des effectifs inconnus n2 , n3 et n4
2) La modalité Mo d’une distribution étant définie comme la valeur de la variable présent le plus grand effectif, en outre admettons que la position de la médiane nulle Mo par rapport à la moyenne et le mode est décrire comme ci après sur l’axe des régis pour une distribution élève vers la droite

3) Calculer Mo et Me dans le cas où n4 = 3