CENTRE NATIONAL DE TÉLÉ-ENSEIGNEMENT DE MADAGASCAR (CNTEMAD)
Année universitaire : 2015/2016
EXAMEN FINAL
MATHEMATIQUES
——
Document interdit
Tous les exercices sont obligatoires
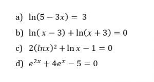
Exercice N°1 :
Résoudre les équations suivantes dans l’ensemble des nombres réels :

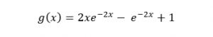
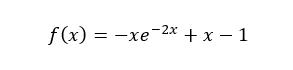
Exercice N°2 :
Soit la fonction g définie sur R par :


a- Vérifier que pour tout x de R, f ‘(x) = g(x)
b- En déduire ∫01 f(x)dx
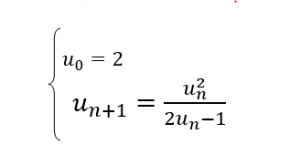
Exercice N°3 :
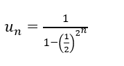
Soit (un) une suite définie par :

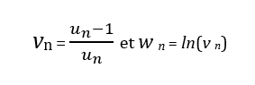
On considère les suites (v n) et (w n) telles que :

1- Montrez que (w n) est une suite géométrique dont on précisera le premier terme et la raison.
2- Exprimer w n en fonction de n celle de vn
3- En déduire que :

4- En déduire
lim un quand n tend vers +∞





![]()



