Mathématique-Statistique

  • Accueil
  • /
  • Sujets type
  • /
  • Mathématique-Statistique

UNIVERSITÉ D’ANTANANARIVO
FACULTÉ DE DROIT, D’ECONOMIE, DE GESTION ET DE SOCIOLOGIE
DÉPARTEMENT ECONOMIE

Épreuve : MATHS-STAT

(Durée : 2 heures)

Date : 03 Mars 2011

MATHÉMATIQUE  

 Exercice 1

Démontrer par récurrence que 2 3n  – 1 et un multiple de 7 pour n entier non nul .

 

 Exercice 2

Calculer  

 

STATISTIQUE

A) Le gouvernement d’un pays voudrait attribuer des aides financières aux régions exportant le plus, les produits agricoles, i = 1, 2, 3. Quatre régions, i=1, 2, 3, 4 se lancent dans cette compétition, choisissant librement un produit parmi lesdits produits.

En ordonnant ces régions, de par leurs résultats, par ordre décroissant, selon la valeur d’exportation effectuée, et en indiquant le choix respectif de produit, combien de cas de configurations distinctes possibles peut-il y avoir a priori ? (On suppose qu’il n’y ait pas d’exæquo)

Exemple de cas de configuration : (R3a2) (R1a3) (R2a1) (R4a1)

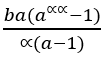
B) On estime les années i, i= 1,2,3,4,5,6,7 que Vi= ba’ , Vi étant la valeur (en milliards d’unités monétaires) des exportations du pays l’ année i

D’après cette estimation :

1) Calculer le taux de variation annuel de la valeur des exportations du pays durant la période considérée.

2) Déterminer α si l’expression de la moyenne arithmétique annuelle de la valeur des exportations durant la période considérée est égale à :

Et donner la valeur de cette moyenne en unités monétaires (on donne a=1,1 et b=7,7)