Définition
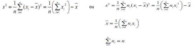
Soit un échantillon de n valeurs observées x1, x2,.., xi,…, xn d’un caractère quantitatif X et soit x sa moyenne observée. Variance observée notée s2 : la moyenne arithmétique des carrés des écarts à la moyenne.


Interprétation :
√ Malgré sa complexité apparente, variance très souvent calculée lorsqu’on étudie la dispersion d’une série statistique.
√ Série statistique peu dispersée, observations xi proches les unes des autres, et donc proches de leur moyenne. Dans ce cas, écarts seront de faibles amplitudes et S2 sera petit.
√ Au contraire, plus une série statistique est dispersée, plus S2 s’accroît.