1- Par définition PF(S) est la probabilité que l’élève soit inscrit dans un club de sport sachant que c’est un garçon : il s’agit donc de la réponse a.
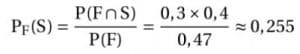
2- Par définition :
La bonne réponse est donc la b.
Nous utilisons des cookies pour ameliorer votre experience. Vous pouvez accepter ou refuser leur utilisation.