Sorry, you have Javascript Disabled! To see this page as it is meant to appear, please enable your Javascript!
Laza-
Adina
🔍
Sujets BAC
Fiches
Exercices
QCM
Inscription gratuite
Connexion
Etude de fonction 4
Accueil
/
Exercices
/
Etude de fonction 4
Sujet:
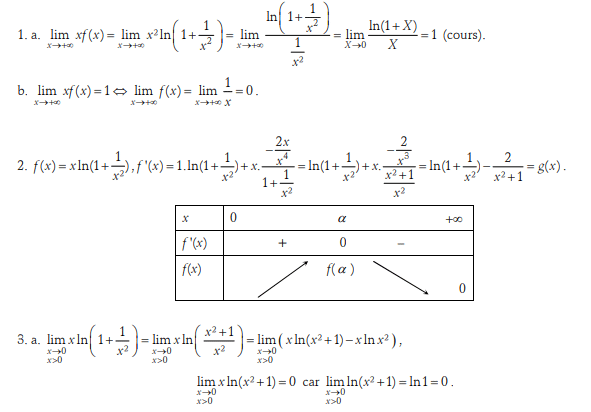
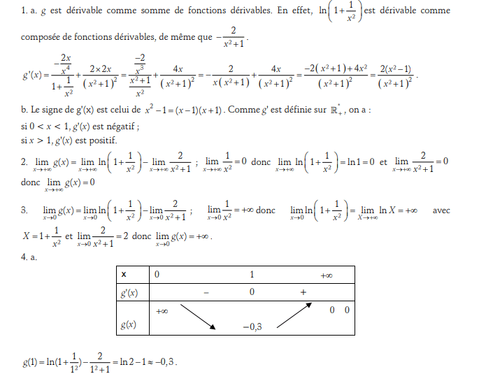
Correction:
Nous utilisons des cookies pour ameliorer votre experience. Vous pouvez accepter ou refuser leur utilisation.
Accepter
Refuser
Politique de confidentialite