Suite Numérique

  • Accueil
  • /
  • Cours
  • /
  • Suite Numérique

 

 
 
 

 
 
 

 
 
 

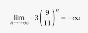
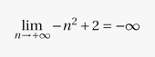
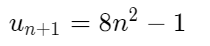
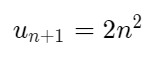
Quelle suite n’a pas pour limite +∞?

 
 
 
 

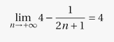
Quelle affirmation est fausse ?

 
 
 
 

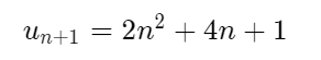
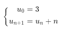
Quelle est la limite de la suite (Un) définie par

 
 
 
 

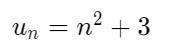
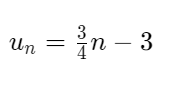
Parmi les suites ci-dessous définies sur Ν, indiquer celle qui est arithmétique.

 
 
 

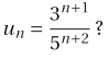
La suite (un) définie par un = 3n+1 × 5−n :

 
 
 
 

Question 1 sur 8